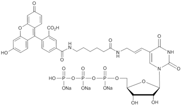
5-FAM-X-UTP (cat. no. C408) is supplied as a 1 mM solution in TE buffer.
5-FAM-X-UTP can be enzymatically incorporated into RNA with T7, T3 and SP6 RNA polymerases, as well as other RNA modifying enzymes. The X linker between FAM and UTP can improve the incorporation efficiency.
|
Specifications:
Excitation/Emission (nm): 495/518 nm
|
|
Applications
Indirect non-radioactive enzymatic labeling of RNA during in vitro transcription.
Related Products
- 5-Aminoallyl-dUTP, 10 mM in TE buffer
- 5-Aminoallyl-UTP, 10 mM in TE buffer
- Biotin-11-dUTP, 1 mM in TE buffer
- Biotin-11-UTP, 1 mM in TE buffer
- 5-FAM-dUTP, 1 mM in TE buffer
- 5-FAM-X-dUTP, 1 mM in TE buffer
- 5-FAM-UTP, 1 mM in TE buffer
- 5-FAM-X-UTP, 1 mM in TE buffer
- Andy Fluor 488-X-dUTP, 1 mM in TE buffer
- Andy Fluor 488-X-UTP, 1 mM in TE buffer
- Andy Fluor 555-X-dUTP, 1 mM in TE buffer
- Andy Fluor 555-X-UTP, 1 mM in TE buffer
- Andy Fluor 568-X-dUTP, 1 mM in TE buffer
- Andy Fluor 568-X-UTP, 1 mM in TE buffer
- Andy Fluor 594-X-dUTP, 1 mM in TE buffer
- Andy Fluor 594-X-UTP, 1 mM in TE buffer
- Andy Fluor 647-X-dUTP, 1 mM in TE buffer
- Andy Fluor 647-X-UTP, 1 mM in TE buffer
- Cy3-X-dUTP, 1 mM in TE buffer
- Cy3-X-UTP, 1 mM in TE buffer
- Cy5-X-dUTP, 1 mM in TE buffer
- Cy5-X-UTP, 1 mM in TE buffer

