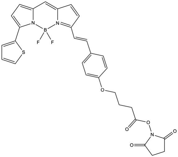
Introduction To order Documents Related Products Introduction BODIPY 630/650 dye is bright, far-red fluorescent dye. It has a high extinction coefficient and fluorescence quantum yield and is relatively insensitive to solvent polarity and pH change. BODIPY 630/650 dye has a relatively long excited-state lifetime (typically 5 nanoseconds or longer), which is useful for fluorescence polarization-based assays and a […]
Continue Reading







