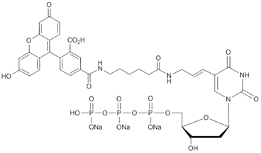
Introduction To order Document Related Products Introduction 5-FAM-UTP (cat. no. C407) is supplied as a 1 mM solution in TE buffer. 5-FAM-UTP can be enzymatically incorporated into RNA with T7, T3 and SP6 RNA polymerases , as well as other RNA modifying enzymes. Specifications: Excitation/Emission (nm): 495/518 nm Concentration: 1 mM solution in TE buffer […]
Continue Reading










